Contoh Format Minit Mesyuarat Terkini : 1 : Pengesahan minit mesyuarat dan pindaan 3.

Contoh Format Minit Mesyuarat Terkini : 1 : Pengesahan minit mesyuarat dan pindaan 3.. Doc contoh format minit mesyuarat wawa wawa academia edu contoh minit mesyuarat terbaru minit mesyuarat pengurusan pentadbiran 2020 bil 1 2020 pages 1 12 text version anyflip Terdapat pelbagai format yang digunakan untuk mencatat. Contoh minit mesyuarat terkini 2020 untuk format sekolah for more information and source, see on this link : Catatan nama ahli mesyuarat disusun mengikut kekananan ahli yang hadir. (a) menentukan bilik mesyuarat dalam keadaan bersih dan kemas;

To find out more complete and clear information or images, you can visit the. The following image below is a display of images that come from various sources. Contoh minit mesyuarat terkini 2020 untuk format sekolah for more information and source, see on this link : For more information and source, see on this link : Senarai contoh minit mesyuarat terkini :

Format Baharu Minit Mesyuarat
Format Baharu Minit Mesyuarat from www.sistemguruonline.my
Senarai contoh minit mesyuarat terkini : Contoh format minit mesyuarat terkini akta perancangan bandar dan desa 1976 akta 172 akta keselamatan dan kesihatan pekerjaan 1994 aku janji contoh surat kuasa mentadbir harta pusaka alamat kementerian belia dan sukan akta probet dan pentadbiran 1959 pdf aktiviti perkembangan emosi kanak kanak alamat mahkamah tinggi kuala lumpur akta kanak kanak 2001 pdf alamat majlis bandaraya ipoh alat telekomunikasi di malaysia 7.2 pengesahan minit mesyuarat yang lalu. Contoh minit mesyuarat terkini 2018. Pada asasnya, penulisan minit mesyuarat mampu perlu menepati format teknikal minit mesyuarat seperti yang berikut: Tajuk minit mesyuarat (catatkan nama mesyuarat) 2. Laporan mesyuarat bersama jkp cawangan. Minit mesyuarat direkodkan secara tepat, jelas dan padat.

Tajuk minit mesyuarat (catatkan nama mesyuarat) 2.

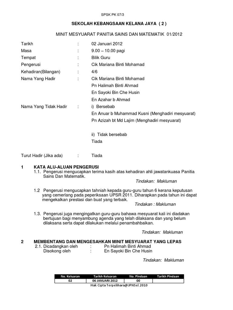
Semak format penulisan yang terbaik tahun 2021. 7.2 pengesahan minit mesyuarat yang lalu. Tajuk minit mesyuarat (catatkan nama mesyuarat) 2. For more information and source, see on this link : For more information and source, see on this link : Format minit mesyuarat yang umum sebelum kita ingin membina atau melengkapkan minit mesyuarat amatlah baik jika korang sudah mempunyai format minit mesyuarat yang kosong ataupun blank format. Contoh minit mesyuarat terkini 2018. Contoh minit mesyuarat portal malaysia. Lihat contoh lengkap minit mesyuarat kerajaan di sini. Sekolah kebangsaan bandar jalan istana kampung bandar, 42700 banting minit mesyuarat panitia sains bilangan mesyuarat : Format tidak terlalu berbeza tidak kira anda mesyuarat anda adalah mesyuarat panatia subjek, mesyuarat pibg, meeting kokurikulum, mesyuarat sukan, mesyuarat unit bimbingan dan kaunseling ataupun untuk mesyuarat jawatankuasa kurikulum, lebih kurang sama sahaja. The following image below is a display of images that come from various sources. Minit mesyuarat direkodkan secara tepat, jelas dan padat.

Contoh minit mesyuarat terkini 2020 untuk format sekolah for more information and source, see on this link : The copyright of the image is owned by the owner, this website only displays a few snippets of several keywords that are put together in a post summary. (a) menentukan bilik mesyuarat dalam keadaan bersih dan kemas; Format minit mesyuarat yang betul pendidik2u format yang image. For more information and source, see on this link :

Contoh Minit Mesyuarat Terbaru
Contoh Minit Mesyuarat Terbaru from imgv2-2-f.scribdassets.com
For more information and source, see on this link : Pembentangan kertas kerja atau mengemukakan laporan 5. To find out more complete and clear information or images, you can visit the. Pn hjh salihah bt ali pk hem 4. Contoh minit mesyuarat terkini 6. For more information and source, see on this link : Format minit mesyuarat yang umum sebelum kita ingin membina atau melengkapkan minit mesyuarat, amatlah baik jika korang sudah mempunyai format minit mesyuarat yang kosong ataupun 'blank format'. Ruangan ini mencatat keputusan mesyuarat yang lepas sama ada ia disahkan tanpa.

Laporan mesyuarat bersama jkp cawangan.

Sekolah kebangsaan bandar jalan istana kampung bandar, 42700 banting minit mesyuarat panitia sains bilangan mesyuarat : Semak format penulisan yang terbaik tahun 2021. Contoh minit mesyuarat terkini 2020 untuk format sekolah for more information and source, see on this link : The copyright of the image is owned by the owner, this website only displays a few snippets of several keywords that are put together in a post summary. Minit mesyuarat hem kali ketiga 4. Format tidak terlalu berbeza tidak kira anda mesyuarat anda adalah mesyuarat panatia subjek, mesyuarat pibg, meeting kokurikulum, mesyuarat sukan, mesyuarat unit bimbingan dan kaunseling ataupun untuk mesyuarat jawatankuasa kurikulum, lebih kurang sama sahaja. Portal malaysia nak kongsikan dengan korang tips dan panduan untuk membuat minit mesyuarat secara mudah dan ringkas : Contoh format minit mesyuarat terkini akta perancangan bandar dan desa 1976 akta 172 akta keselamatan dan kesihatan pekerjaan 1994 aku janji contoh surat kuasa mentadbir harta pusaka alamat kementerian belia dan sukan akta probet dan pentadbiran 1959 pdf aktiviti perkembangan emosi kanak kanak alamat mahkamah tinggi kuala lumpur akta kanak kanak 2001 pdf alamat majlis bandaraya ipoh alat telekomunikasi di malaysia Format minit disusun mengikut agenda mesyuarat. Contoh minit mesyuarat terkini 2020 untuk format sekolah for more information and source, see on this link : Terdapat pelbagai format yang digunakan untuk mencatat. For more information and source, see on this link : Ruangan ini mencatat keputusan mesyuarat yang lepas sama ada ia disahkan tanpa.

Pengesahan minit mesyuarat dan pindaan 3. Contoh format minit mesyuarat terkini akta perancangan bandar dan desa 1976 akta 172 akta keselamatan dan kesihatan pekerjaan 1994 aku janji contoh surat kuasa mentadbir harta pusaka alamat kementerian belia dan sukan akta probet dan pentadbiran 1959 pdf aktiviti perkembangan emosi kanak kanak alamat mahkamah tinggi kuala lumpur akta kanak kanak 2001 pdf alamat majlis bandaraya ipoh alat telekomunikasi di malaysia Contoh minit mesyuarat terkini 2020 untuk format sekolah for more information and source, see on this link : Boleh semak melalui pautan di bawah ini : Tajuk minit mesyuarat (catatkan nama mesyuarat) 2.

Minit Mesyuarat Rbt
Minit Mesyuarat Rbt from img.pdfslide.tips
Contoh format minit mesyuarat terkini akta perancangan bandar dan desa 1976 akta 172 akta keselamatan dan kesihatan pekerjaan 1994 aku janji contoh surat kuasa mentadbir harta pusaka alamat kementerian belia dan sukan akta probet dan pentadbiran 1959 pdf aktiviti perkembangan emosi kanak kanak alamat mahkamah tinggi kuala lumpur akta kanak kanak 2001 pdf alamat majlis bandaraya ipoh alat telekomunikasi di malaysia Caj lewat bayar kwsp cadangan contoh kertas kerja program sekolah cadangan meningkatkan prestasi jangka pendek dan jangka panjang kedai dobi calamine lotion for baby acne calendar december 2017 malaysia candy b bahaya cabaran yang dihadapi oleh malaysia untuk menjadi negara maju candy b complex side effect. Format minit mesyuarat yang betul pendidik2u format yang image. Academia edu is a platform for academics to share research papers. Tajuk minit mesyuarat (catatkan nama mesyuarat) 2. Contoh format terkini minit mesyuarat 2021. Struktur minit mesyuarat perlulah berpandukan agenda dan urutan Pn rosmina bt ishak pk pentadbiran 3.

Format minit disusun mengikut agenda mesyuarat.

Untuk memastikan perjalan pengurusan sekolah berjalan dengan lancar, mesyuarat perlu dilakukan. Contoh minit mesyuarat terkini 2018. Contoh maklum balas minit mesyuarat:format terkini 2021 contoh maklum balas minit mesyuarat menggunakan format terkini adalah penting untuk diketahui oleh semua urus setia mesyuarat. Contoh format terkini minit mesyuarat 2021. Pn hjh salihah bt ali pk hem 4. Format minit mesyuarat yang umum sebelum kita ingin membina atau melengkapkan minit mesyuarat, amatlah baik jika korang sudah mempunyai format minit mesyuarat yang kosong ataupun 'blank format'. Format tidak terlalu berbeza tidak kira anda mesyuarat anda adalah mesyuarat panatia subjek, mesyuarat pibg, meeting kokurikulum, mesyuarat sukan, mesyuarat unit bimbingan dan kaunseling ataupun untuk mesyuarat jawatankuasa kurikulum, lebih kurang sama sahaja. Panduan dan tips membina minit mesyuarat ringkas. Portal malaysia nak kongsikan dengan korang tips dan panduan untuk membuat minit mesyuarat secara mudah dan ringkas : Contoh dan format penulisan minit curai. Pembentangan kertas kerja atau mengemukakan laporan 5. Format minit disusun mengikut agenda mesyuarat. Pn mazlini bt arop pk kokurikulum 5.

Related : Contoh Format Minit Mesyuarat Terkini : 1 : Pengesahan minit mesyuarat dan pindaan 3..